문제 링크
13023번: ABCDE
문제의 조건에 맞는 A, B, C, D, E가 존재하면 1을 없으면 0을 출력한다.
www.acmicpc.net
주의사항
- JAVA를 사용하여 프로그램을 사용하였습니다.
- 백준에서 코드를 작성하였을 때 아래 형태에서 Main에서 결과가 출력되어야 합니다.
public class Main{
public static void main(String[] args){
}
}
문제 설명


접근 방법
이 문제에서 그래프와 DFS를 통하여 문제를 해결하였습니다.
DFS(깊이 우선 탐색)은 아래 그림처럼 어떤 조건을 가지고 목표노드에 도달하기까지 자식노드를 통해 이동하며 목표노드까지 도달하는 것을 말합니다.
자식 노드에 도착하면 그 자식노드에서 조건에 만족하는 자식노드로 다시 이동하여 목표 노드로 이동합니다.

출처 : https://ko.wikipedia.org/wiki/%EA%B9%8A%EC%9D%B4_%EC%9A%B0%EC%84%A0_%ED%83%90%EC%83%89
이 문제에 핵심은
1. 문제에 나온 규칙을 만족하면 1을 만족하지 못하면 0을 결과로 출력합니다.
2. 같은 친구 관계는 두 번 이상 존재하지 않는다.
3. 친구 관계이기 때문에 입력되는 관계는 양방향입니다.
처음 이 문제를 이해할 때는 이해가 되지 않아서 무슨 내용인지 이해하는데만 시간을 많이 소요한 것 같습니다.ㅜ^ㅜ.
예제입력에 대한 내용을 그림으로 표현하다가 이 문제에 규칙이 무슨 내용인지 이해가 되었습니다.
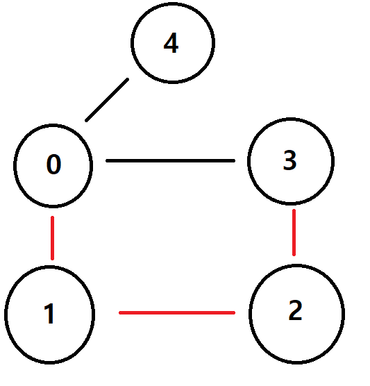
예제입력2을 그림으로 표현하면

위 그림에서 규칙에 맞게 적용되도록 관계를 설정하면

위 그래프처럼 어느 한 노드에서 출발하여 다른 노드(도달하지 않했던 노드)로 4번 이동하면 규칙에 만족하는 것입니다.
이 과정을 구현하기 위해 저는 DFS(깊이 우선 탐색)을 통해 구현하였습니다.
그래프에 대한 내용을 정의하기 위해 ArrayList<ArrayList<Integer>>의 형태로 리스트를 만들어주었습니다.
위와 같이 정의하여 데이터를 저장하면 각 정점이 어떤 정점으로 이동하는지 간단하게 저장할 수 있습니다.
예를 들어
1 -> 4
1 -> 3
2 -> 5
3 -> 4
ArrayList<ArrayList<Integer>>의 저장되는 모습은 리스트 안에 리스트가 포함되는 형식으로 저장됩니다.
| 정점 | ||
| 1 | 3 | 4 |
| 2 | 5 | |
| 3 | 1 | 4 |
| 4 | 1 | 4 |
| 5 | 2 |
DFS를 구현할 때 어떤 노드를 먼저 탐색할지 기준을 정해야하는데 이 문제에서는 기준이 존재하지 않기 때문에 모든 노드에서 DFS를 진행 및 모든 경우를 탐색하여 규칙에 만족하는지 확인하도록 구현하였습니다.
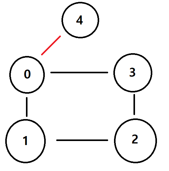
처음에 노드 0으로 시작할 때


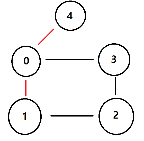
노드 1에서 시작할 때



노드 1에서 시작할 때 규칙을 만족하기 때문에 DFS탐색을 중지하고 결과를 1로 출력합니다.
문제를 해결한 알고리즘의 과정입니다.
1. 친구들의 관계를 ArrayList<ArrayList<Integer>>에 저장합니다.
2. DFS(깊이 우선 탐색)을 이용하여 시작 노드 0~N-1까지 모든 경우를 탐색합니다.
3. 탐색 중 규칙에 만족하는 경우가 존재할 경우 탐색을 종료하고 1을 결과로 출력합니다.
4. 모든 탐색이 종료되었지만 규칙이 만족하지 못하면 0을 결과로 출력합니다.
- BufferedReader를 사용하여 입력 값을 받았습니다.
- StringTokenizer를 통해서 친구에 대한 입력값을 나누었습니다.
- DFS탐색으로 규칙에 만족하는지 확인하는 dfs함수를 사용하였습니다.
- DFS탐색 중 Count가 5가 되면 규칙에 만족하여 1를 출력하고 시스템을 종료하였습니다.
- DFS 탐색이 끝나도 규칙에 만족하지 못하면 0을 결과로 출력하였습니다.
- dfs 함수는 재귀와 깊이 우선 탐색을 이용하여 구현하였습니다.
- dfs는 Count=5이면 문제에 규칙에 만족한다고 판단하고 결과를 출력하고 시스템을 종료하였습니다.
결과 코드
import java.io.*;
import java.util.*;
public class Main{
static int N,M;
static ArrayList<ArrayList<Integer>> graph = new ArrayList<>(); //친구 관계 저장 리스트
static boolean[] visited; //해당 친구 도달했는지 확인 배열
public static void main(String[] arg) throws IOException{
BufferedReader br = new BufferedReader(new InputStreamReader(System.in));
//입력값 처리하는 BufferedReader
StringTokenizer st = new StringTokenizer(br.readLine()," ");
N = Integer.parseInt(st.nextToken());
M = Integer.parseInt(st.nextToken());
for(int i=0;i<N;i++) //그래프 초기화
graph.add(new ArrayList<>());
for(int i=0;i<M;i++) { //친구 관계 입력값 저장
st = new StringTokenizer(br.readLine()," ");
int a = Integer.parseInt(st.nextToken());
int b = Integer.parseInt(st.nextToken());
//양방향으로 a,b일 때와 b,a를 모두 저장
graph.get(a).add(b);
graph.get(b).add(a);
}
br.close();
for(int i=0;i<N;i++) { //각 노드 기준 DFS 탐색 시작
visited = new boolean[N];
dfs(i,1);
}
System.out.println("0\n"); //DFS탐색 후 규칙 만족 안할 때 0 출력
}
//DFS를 통해 규칙을 만족하면 1을 출력하는 함수
static void dfs(int cur, int count) {
if(count==5) { //규칙 만족할 때
System.out.println("1"); //결과 1 출력
System.exit(0); //시스템 종료
}
visited[cur] = true; //해당 친구 도달 완료
for(int i=0;i<graph.get(cur).size();i++) {
if(!visited[graph.get(cur).get(i)]) { //다른 친구 도달 가능시
dfs(graph.get(cur).get(i),count+1);
}
}
visited[cur] = false; //해당 친구 도달 취소
return;
}
}
'백준' 카테고리의 다른 글
| [백준] code.plus(큐와 그래프,JAVA)11724번, 연결 요소의 개 (0) | 2022.04.24 |
|---|---|
| [백준] 단계별로 풀어보기(단계:16, 누적합,JAVA)2559번, 수열 (0) | 2022.04.23 |
| [백준] 단계별로 풀어보기(단계:16, 누적합,JAVA)11659번, 구간 합 구하기 4 (0) | 2022.04.21 |
| [백준] code.plus(큐와 그래프,JAVA)10845번, 큐 (0) | 2022.04.20 |
| [백준] 단계별로 풀어보기(단계:25, 최단 경로,JAVA)13549번, 숨바꼭질 3 (0) | 2022.04.19 |
댓글