문제 링크
3584번: 가장 가까운 공통 조상
루트가 있는 트리(rooted tree)가 주어지고, 그 트리 상의 두 정점이 주어질 때 그들의 가장 가까운 공통 조상(Nearest Common Anscestor)은 다음과 같이 정의됩니다. 두 노드의 가장 가까운 공통 조상은, 두
www.acmicpc.net
주의사항
- JAVA를 사용하여 프로그램을 사용하였습니다.
- 백준에서 코드를 작성하였을 때 아래 형태에서 Main에서 결과가 출력되어야 합니다.
public class Main{
public static void main(String[] args){
}
}
문제 설명


접근 방법
이 문제에 핵심
1. 루트 노드가 존재하는 트리가 주어집니다.
2. 주어지는 두 노드에 대하여 가장 가까운 공통 조상 노드를 결과로 출력합니다.
3. 노드는 N-1번까지 주어집니다.
알고리즘 진행 순서.
1. 입력된 정보를 저장합니다.
2. 트리를 구성하면서 각 부모 노드와 깊이를 구한 뒤 LCA를 진행합니다.
3. LCA로 얻은 결과를 출력합니다.
LCA(최소 공통 조상 노드 구하기).
[백준] 알고리즘 분류(트리,JAVA)11437번, LCA
문제 링크 11437번: LCA 첫째 줄에 노드의 개수 N이 주어지고, 다음 N-1개 줄에는 트리 상에서 연결된 두 정점이 주어진다. 그 다음 줄에는 가장 가까운 공통 조상을 알고싶은 쌍의 개수 M이 주어지고
tussle.tistory.com
위 링크에서는 각 깊이를 맞춘 뒤 깊이를 1칸씩 올리면서 탐색하지만 트리의 크기가 커진다면 "시간 초과"가 발생할 확률이 높습니다.
이 문제에서는 위와 같은 방법을 사용해도 해결하는 데에는 문제가 없습니다.
[백준] 알고리즘 분류(트리,JAVA)11438번, LCA 2
문제 링크 11438번: LCA 2 첫째 줄에 노드의 개수 N이 주어지고, 다음 N-1개 줄에는 트리 상에서 연결된 두 정점이 주어진다. 그 다음 줄에는 가장 가까운 공통 조상을 알고싶은 쌍의 개수 M이 주어지
tussle.tistory.com
위 링크에서는 각 깊이를 맞출 때와 올라가면서 최소 공통 조상을 찾을 때 메모이제이션과 이분 탐색을 이용하여 기존 방법보다 시간적인 부분에서 효율적입니다.
저는 최소 공통 조상 문제를 풀 때에 이 방법을 주로 사용하며 이번 문제에서도 이 방법을 사용하였습니다.
루트 노드 구하기.
문제에서는 루트 노드가 존재하는 트리이지만 어떤 노드가 루트 노드인지 가르쳐주지 않습니다.
루트 노드의 특성 중 부모 노드가 존재하지 않는 것으로 트리를 구성할 때
Boolean[]배열을 이용하여 부모 노드가 없는 노드를 확인하여 루트 노드로 설정하실 수 있습니다.
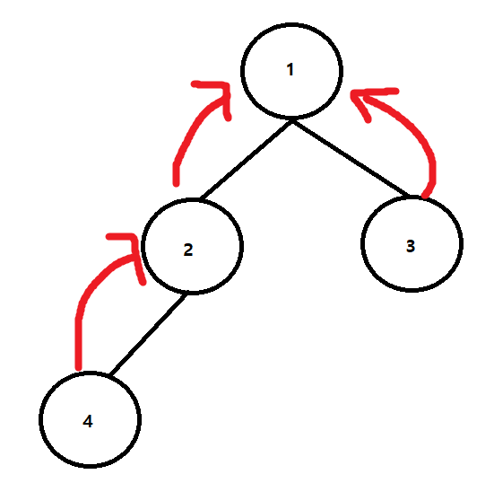
아래와 같은 트리일 때

4번 노드의 부모 노드 : 3
3번 노드의 부모 노드 : 1
2번 노드의 부모 노드 : 1
1번 노드의 부모 노드 : X
루트 노드 : 1번 노드
예제입력 1.
※테스트 케이스 2번을 진행하는 과정만 보여드리겠습니다.
1. 입력된 정보를 저장합니다.
N : 5
2 3
3 4
3 1
1 5
2. 트리를 구성하면서 각 부모 노드와 깊이를 구한 뒤 LCA를 진행합니다.
트리를 구성.

깊이와 부모 노드 관련 배열 설정.

메모이제이션의 값들도 정의를 진행합니다.

parent[5][1] = 2¹위에 있는 부모 노드 : 3
parent[5][2] = 2²위에는 부모 노드 존재 X
....
최소 공통 조상 노드를 찾아야 할 두 노드 : 3 5
노드 3과 노드 5에 깊이를 맞추기.

두 노드의 깊이를 맞추면 같은 노드에 도달합니다.(3번 노드)
깊이를 맞추었을 때 같은 노드이면 해당 노드가 최소 공통 조상노드가 됩니다.
3. LCA로 얻은 결과를 출력합니다.
최소 공통 조상 노드 : 3번 노드
- BufferedReader를 사용하여 입력되는 정보를 저장합니다.
- StringTokenizer를 통해서 트리의 노드 정보를 띄어쓰기 기준 나누었습니다.
- getHeght으로 얻은 트리에 대한 최대 깊이를 이용하여 배열을 구성하였습니다.
- getRoot으로 얻은 루트 노드 기준으로 setDepth 실행하여 트리의 깊이와 부모 노드를 설정하였습니다.
- setParent으로 부모 노드에 대한 메모이제이션을 구성합니다.
- 최소 공통 조상 노드를 찾는 두 노드에 대하여 LCA를 진행한 결과를 BufferedWriter 저장하였습니다.
- BufferedWriter에 저장된 결과값을 출력하였습니다.
- getHeight함수는 트리의 최대 높이를 구합니다.
- getRoot함수는 트리의 루트 노드를 구합니다.
- setDepth함수는 각 노드의 깊이와 부모 노드를 저장합니다.
- setParent함수는 부모 노드의 메모이제이션 값들을 구성합니다.
- LCA함수는 두 노드의 최소 공통 조상 노드를 구합니다.
- LCA함수는 a의 깊이가 더 깊다고 가정하고 진행합니다.
- LCA함수는 깊이를 맞출 때와 올라갈 때 이분 탐색을 이용합니다.
import java.io.*;
import java.util.*;
public class Main {
static int[][] parent; //부모 노드 관련 메모이제이션 배열
static int[] depth; //깊이 관련 배열
static boolean[] check; //루트 노드 관련 배열
static ArrayList<ArrayList<Integer>> tree; //트리 관련 저장 리스트
static int size, root;
public static void main(String[] args) throws IOException{
//입력값 처리하는 BufferedReader
BufferedReader br = new BufferedReader(new InputStreamReader(System.in));
//결과값 출력하는 BufferedWriter
BufferedWriter bw = new BufferedWriter(new OutputStreamWriter(System.out));
StringTokenizer st;
int T = Integer.parseInt(br.readLine());
//각 테스트 케이스 진행.
for(int i=0;i<T;i++){
int N = Integer.parseInt(br.readLine());
tree = new ArrayList<>();
check = new boolean[N+1];
depth = new int[N+1];
size = getHeight(N);
parent = new int[N+1][size];
for(int j=0;j<=N;j++)
tree.add(new ArrayList<>());
//트리 정보 저장.
for(int j=1;j<N;j++){
st = new StringTokenizer(br.readLine()," ");
int A = Integer.parseInt(st.nextToken());
int B = Integer.parseInt(st.nextToken());
tree.get(A).add(B);
tree.get(B).add(A);
check[B] = true; //B의 부모 노드 존재.
}
getRoot(N); //루트 노드 구하기
setDepth(1, root, 0); //트리의 깊이 및 부모 노드 구하기
setParent(N); //Parent[][] 메모이제이션 배열 구성
st = new StringTokenizer(br.readLine(), " ");
int a = Integer.parseInt(st.nextToken());
int b = Integer.parseInt(st.nextToken());
bw.write(LCA(a, b) + "\n"); //LCA 결과 BufferedWriter 저장
}
bw.flush(); //결과 출력
bw.close();
br.close();
}
//트리의 최대 높이 구하는 함수
static int getHeight(int n){
return (int)Math.ceil(Math.log(n) / Math.log(2)) + 1;
}
//트리의 루트 노드 구하는 함수
static void getRoot(int n){
for(int i=1;i<=n;i++){
if(!check[i]){
root = i;
return;
}
}
}
//트리의 깊이와 부모 노드 구성하는 함수
static void setDepth(int d, int cur, int p){
depth[cur] = d;
for(int next : tree.get(cur)){
if(p != next){
parent[next][0] = cur;
setDepth(d+1, next, cur);
}
}
}
//Parent[][] 메모이제이션 구성하는 함수
static void setParent(int n){
for(int i=1;i<size;i++){
for(int j=1;j<=n;j++){
parent[j][i] = parent[parent[j][i-1]][i-1];
}
}
}
//LCA 진행하는 함수
static int LCA(int a, int b){
int da = depth[a];
int db = depth[b];
//da가 항상 깊이가 높다고 가정하였습니다.
if(db > da){
int temp = b;
b = a;
a = temp;
}
//이분 탐색으로 깊이 맞추기.
for(int i = size-1;i>=0;i--){
if(depth[a] - Math.pow(2, i) >= depth[b])
a = parent[a][i];
}
//깊이를 맞추었을 때 같은 노드일 때는 해당 노드 최소 공통 조상 노드
if(a==b)
return a;
//이분 탐색으로 깊이를 맞춘 두 노드를 올라가기 진행!
for(int i=size-1;i>=0;i--){
if(parent[a][i] != parent[b][i]){
a = parent[a][i];
b = parent[b][i];
}
}
return parent[a][0]; //최소 공통 조상 노드 반환
}
}
'백준' 카테고리의 다른 글
| [백준] 알고리즘 분류(브루트 포스,JAVA)2468번, 안전 영역 (0) | 2022.10.22 |
|---|---|
| [백준] 알고리즘 분류(자료구조,JAVA)1158번, 요세푸스 문제 (0) | 2022.10.21 |
| [백준] 알고리즘 분류(트리,JAVA)15900번, 나무 탈출 (0) | 2022.10.20 |
| [백준] 알고리즘 분류(그리디 알고리즘,JAVA)1744번, 수 묶기 (0) | 2022.10.20 |
| [백준] 알고리즘 분류(그리디 알고리즘,JAVA)11000번, 강의실 배정 (0) | 2022.10.20 |
댓글